BusphotoBUSPHOTO

Picture Statistics

394 KB


Picture ID:191941
File Size:394 KB
Author:kajiurago
Publication Date:20.07.2017 21:22 EET
Days in Database:3080
Unique views:239
Comments:0

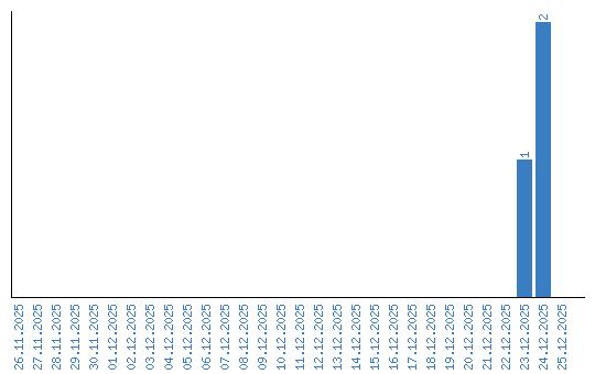
Viewing statistics by date