BusphotoBUSPHOTO

Picture Statistics

411 KB


Picture ID:193903
File Size:411 KB
Posted by:Froptking
Publication Date:04.08.2017 15:01 EET
Days in Database:3066
Unique views:319
Comments:1

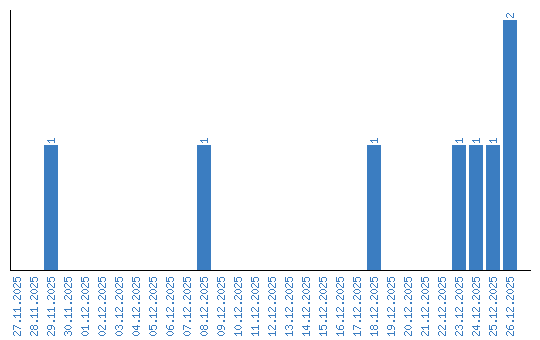
Viewing statistics by date