BusphotoBUSPHOTO

Informatsioon foto kohta

413 KB


Pildi ID:194190
Faili suurus:413 KB
Autor:Кубик-Рубик
Avaldatud:06.08.2017 17:14 EET
Päevi saidil:3064
Unikaalseid vaatamisi:224
Kommentaare:0

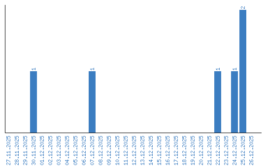
Vaatamiste statistika kuupäeviti