BusphotoBUSPHOTO

Picture Statistics

477 KB


Picture ID:194290
File Size:477 KB
Posted by:Olegan73
Publication Date:06.08.2017 22:49 EET
Days in Database:3097
Unique views:243
Comments:0

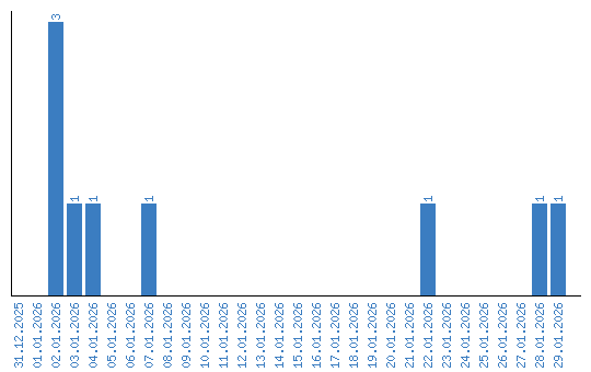
Viewing statistics by date