BusphotoBUSPHOTO

Информация за снимката

366 КБ


Идентификатор на снимки:195345
Размер на файла:366 КБ
Автор:Lewar
Качено:16.08.2017 14:39 EET
Стоящо в сайта, дни:3089
Уникални преглеждания:109
Коментари:0

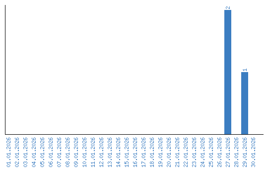
Динамика на преглежданията по дата