BusphotoBUSPHOTO

Picture Statistics

276 KB


Picture ID:206528
File Size:276 KB
Fotografato da:Skillsbus
Publication Date:06.11.2017 15:28 EET
Days in Database:3007
Unique views:225
Comments:0

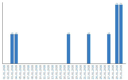
Viewing statistics by date