BusphotoBUSPHOTO

Picture Statistics

280 KB


Picture ID:206903
File Size:280 KB
Fotografato da:Jessie
Publication Date:10.11.2017 15:53 EET
Days in Database:2968
Unique views:265
Comments:0

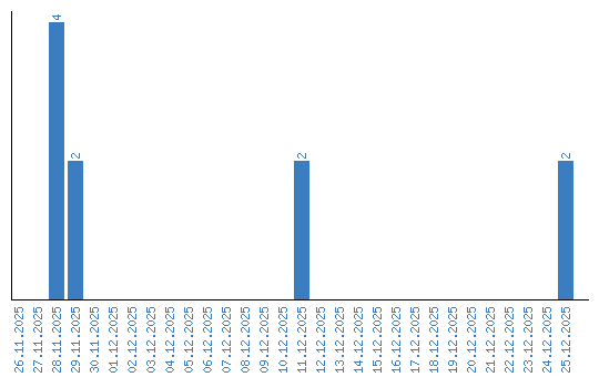
Viewing statistics by date