BusphotoBUSPHOTO

Nuotraukos informacija

327 Kb


Nuotraukos identifikatorius:208039
Bylos dydis:327 Kb
Autorius:IKARUS 250Lux
Publikuota:20.11.2017 20:25 EET
Yra tinklapyje dienų:3021
Unikalių peržiūrų:298
Komentarų:0

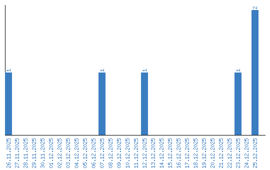
Peržiūrų dinamika pagal dienas