BusphotoBUSPHOTO

Picture Statistics

345 KB


Picture ID:20832
File Size:345 KB
Autorul:GAZman
Publication Date:09.01.2012 15:24 EET
Days in Database:5159
Unique views:365
Comments:0

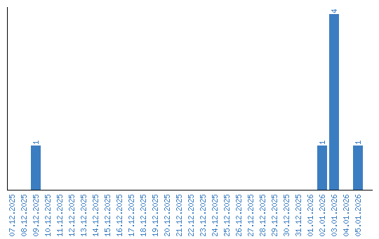
Viewing statistics by date