BusphotoBUSPHOTO

Statistiques d'images

343 KO


ID de l'image:209173
Taille du fichier:343 KO
Auteur:Światosław Neuhauz
Date de publication:03.12.2017 00:16 EET
Jours dans la base de données:2994
Vues uniques:412
Commentaires:0

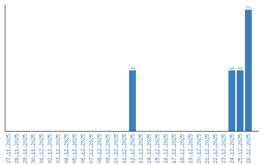
Affichage des statistiques par date