BusphotoBUSPHOTO

Picture Statistics

274 KB


Picture ID:210219
File Size:274 KB
Author:Bussmicke
Publication Date:13.12.2017 23:22 EET
Days in Database:2982
Unique views:325
Comments:0

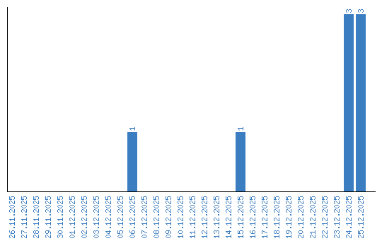
Viewing statistics by date