BusphotoBUSPHOTO.EU

Statystyki zdjęcia

457 kB


Identyfikator zdjęcia:210853
Rozmiar pliku:457 kB
Autor:Valius Kedainietis
Data publikacji:20.12.2017 16:50 EET
Liczba wyświetleń dzisiaj:2991
Łączna ilość wyświetleń:252
Komentarze:0

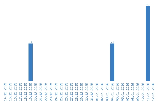
Liczba oglądających według dat