BusphotoBUSPHOTO

Štatistika obrázku

398 kB


Identifikátor obrázku:21144
Veľkosť súboru:398 kB
Autor:Дмитрий Михайлов
Zverejnené:11.01.2012 21:34 EET
Nachádza sa na stránkach (dní):5133
Jednotlivých zhliadnutí:254
Komentárov:2

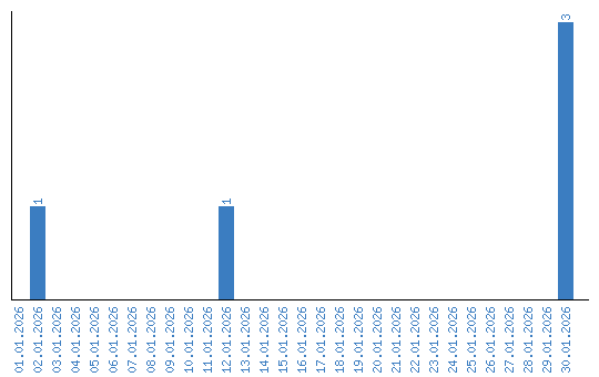
Zobrazenia po jednotlivých dňoch