BusphotoBUSPHOTO

Iнфармацыя аб малюнку

356 КБ


Ідэнтыфікатар малюнка:213880
Памер файла:356 КБ
Аўтар:Ashark94
Апублікавана:08.01.2018 17:48 EET
Знаходзіцца на сайце, дзён:2959
Унікальных праглядаў:249
Каментароў:0

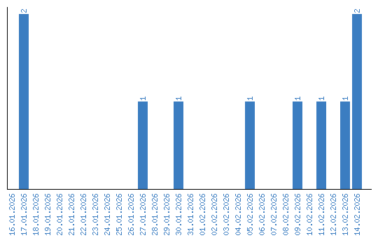
Дынаміка праглядаў па датах