BusphotoBUSPHOTO

Picture Statistics

471 KB


Picture ID:214082
File Size:471 KB
Author:SJu
Publication Date:09.01.2018 21:25 EET
Days in Database:2957
Unique views:194
Comments:0

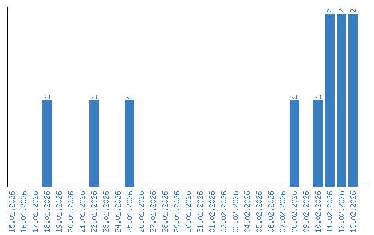
Viewing statistics by date