BusphotoBUSPHOTO

Информация за снимката

604 КБ


Идентификатор на снимки:214311
Размер на файла:604 КБ
Автор:John M.
Качено:11.01.2018 17:11 EET
Стоящо в сайта, дни:2954
Уникални преглеждания:145
Коментари:0

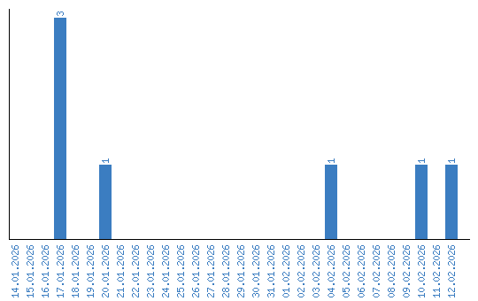
Динамика на преглежданията по дата