BusphotoBUSPHOTO

Picture Statistics

385 KB


Picture ID:215525
File Size:385 KB
Author:busfreak
Publication Date:20.01.2018 18:45 EET
Days in Database:2896
Unique views:134
Comments:0

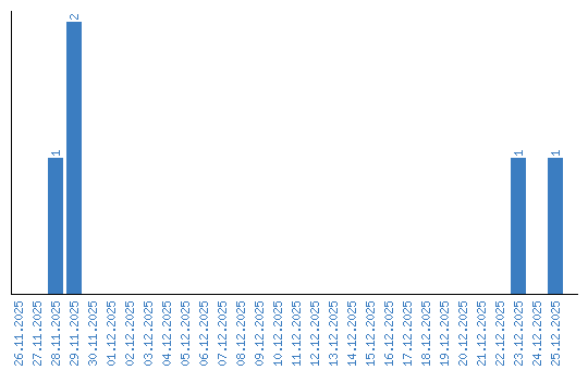
Viewing statistics by date