BusphotoBUSPHOTO

Picture Statistics

388 KB


Picture ID:215562
File Size:388 KB
Fotografato da:Mark Andrew
Publication Date:20.01.2018 19:58 EET
Days in Database:2945
Unique views:283
Comments:0

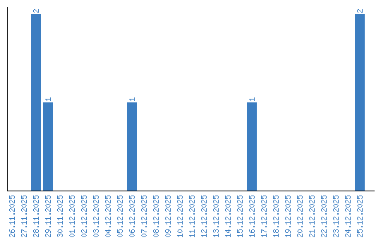
Viewing statistics by date