BusphotoBUSPHOTO

Picture Statistics

392 KB


Picture ID:21585
File Size:392 KB
Author:timoffey.dp
Publication Date:15.01.2012 16:20 EET
Days in Database:5129
Unique views:304
Comments:0

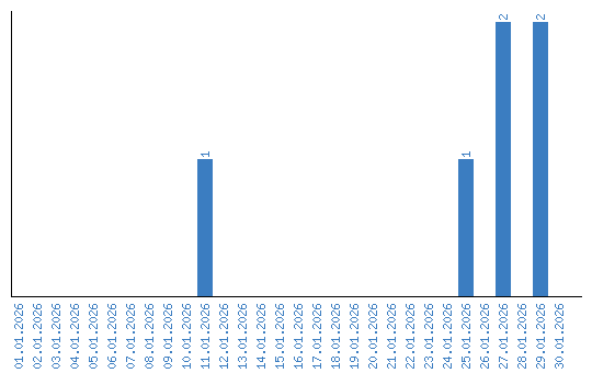
Viewing statistics by date