BusphotoBUSPHOTO

Информация за снимката

350 КБ


Идентификатор на снимки:216410
Размер на файла:350 КБ
Автор:Światosław Neuhauz
Качено:27.01.2018 02:01 EET
Стоящо в сайта, дни:2926
Уникални преглеждания:312
Коментари:0

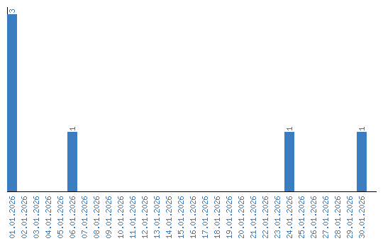
Динамика на преглежданията по дата