BusphotoBUSPHOTO

Picture Statistics

251 KB


Picture ID:217193
File Size:251 KB
Author:Der Zugchef
Publication Date:01.02.2018 15:21 EET
Days in Database:2884
Unique views:294
Comments:0

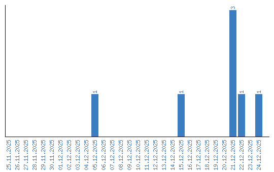
Viewing statistics by date