BusphotoBUSPHOTO

Picture Statistics

814 KB


Picture ID:217449
File Size:814 KB
Author:John M.
Publication Date:02.02.2018 21:18 EET
Days in Database:2884
Unique views:139
Comments:0

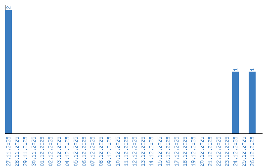
Viewing statistics by date