BusphotoBUSPHOTO

Picture Statistics

741 KB


Picture ID:219140
File Size:741 KB
Author:Mahdid216
Publication Date:12.02.2018 21:42 EET
Days in Database:2908
Unique views:140
Comments:0

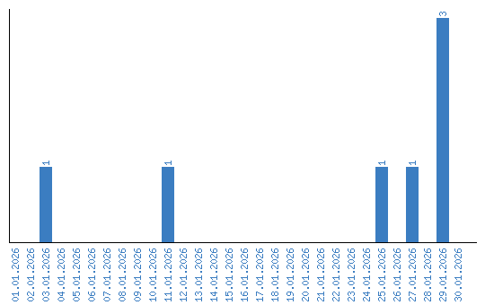
Viewing statistics by date