BusphotoBUSPHOTO

Picture Statistics

335 KB


Picture ID:219379
File Size:335 KB
Author:Valius Kedainietis
Publication Date:14.02.2018 15:13 EET
Days in Database:2871
Unique views:172
Comments:0

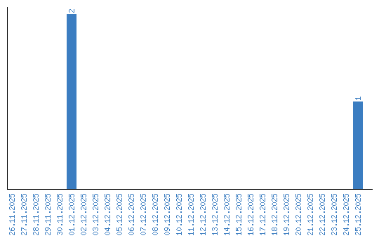
Viewing statistics by date