BusphotoBUSPHOTO

Picture Statistics

199 KB


Picture ID:225576
File Size:199 KB
Author:Block
Publication Date:23.03.2018 21:25 EET
Days in Database:2878
Unique views:385
Comments:0

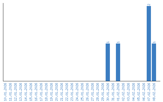
Viewing statistics by date