BusphotoBUSPHOTO

Picture Statistics

635 KB


Picture ID:227052
File Size:635 KB
Yazar:Ники 1515
Publication Date:01.04.2018 23:43 EET
Days in Database:2886
Unique views:396
Comments:0

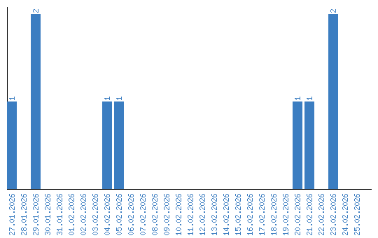
Viewing statistics by date