BusphotoBUSPHOTO

Picture Statistics

291 KB


Picture ID:228128
File Size:291 KB
Author:MaxFand
Publication Date:07.04.2018 21:19 EET
Days in Database:2884
Unique views:261
Comments:0

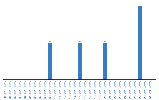
Viewing statistics by date