BusphotoBUSPHOTO

Picture Statistics

431 KB


Picture ID:228660
File Size:431 KB
Author:Flying Dutchman
Publication Date:10.04.2018 21:07 EET
Days in Database:2861
Unique views:237
Comments:0

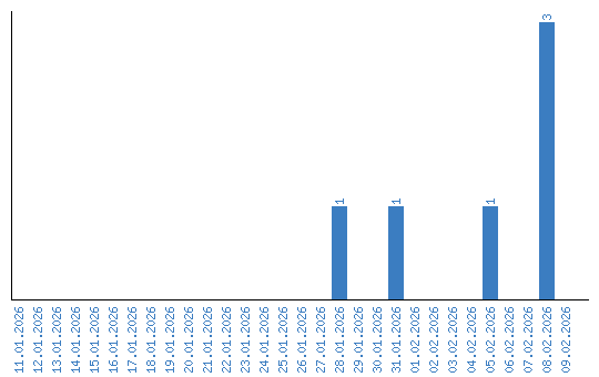
Viewing statistics by date