BusphotoBUSPHOTO

Picture Statistics

276 KB


Picture ID:233020
File Size:276 KB
Author:nl-touristik
Publication Date:09.05.2018 09:34 EET
Days in Database:2826
Unique views:208
Comments:0

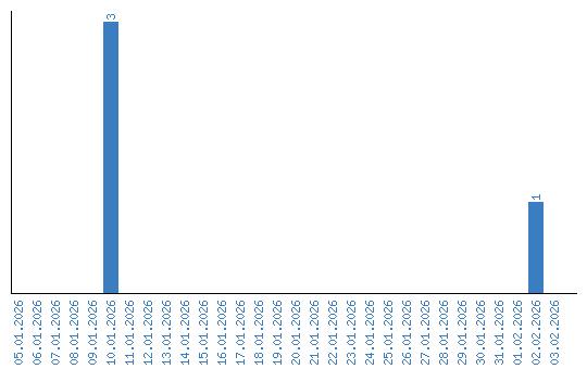
Viewing statistics by date