BusphotoBUSPHOTO

Picture Statistics

177 KB


Picture ID:233158
File Size:177 KB
Author:olegp
Publication Date:09.05.2018 20:50 EET
Days in Database:2844
Unique views:195
Comments:0

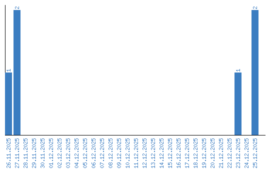
Viewing statistics by date