BusphotoBUSPHOTO

Picture Statistics

305 KB


Picture ID:233856
File Size:305 KB
Author:boeingbalint
Publication Date:14.05.2018 19:54 EET
Days in Database:2841
Unique views:340
Comments:0

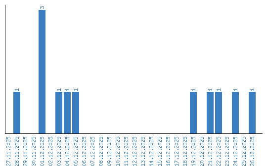
Viewing statistics by date