BusphotoBUSPHOTO

Picture Statistics

244 KB


Picture ID:23604
File Size:244 KB
Author:Александр Олейников
Publication Date:31.01.2012 16:15 EET
Days in Database:5139
Unique views:115
Comments:0

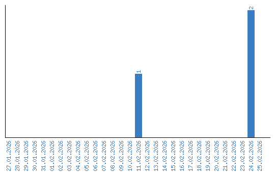
Viewing statistics by date