BusphotoBUSPHOTO

Picture Statistics

404 KB


Picture ID:236972
File Size:404 KB
Yazar:Димар Техзвуков
Publication Date:03.06.2018 20:06 EET
Days in Database:2800
Unique views:222
Comments:0

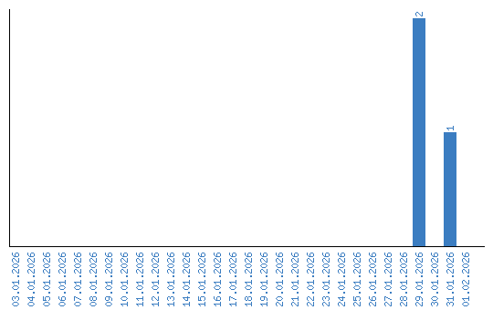
Viewing statistics by date