BusphotoBUSPHOTO.EU

Statystyki zdjęcia

499 kB


Identyfikator zdjęcia:238099
Rozmiar pliku:499 kB
Autor:Valius Kedainietis
Data publikacji:12.06.2018 11:31 EET
Liczba wyświetleń dzisiaj:2772
Łączna ilość wyświetleń:361
Komentarze:0

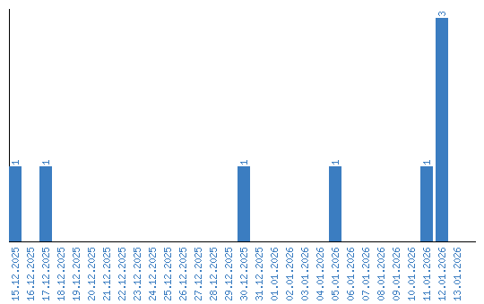
Liczba oglądających według dat