BusphotoBUSPHOTO

Picture Statistics

341 KB


Picture ID:238490
File Size:341 KB
Author:SavA
Publication Date:15.06.2018 09:53 EET
Days in Database:2778
Unique views:139
Comments:0

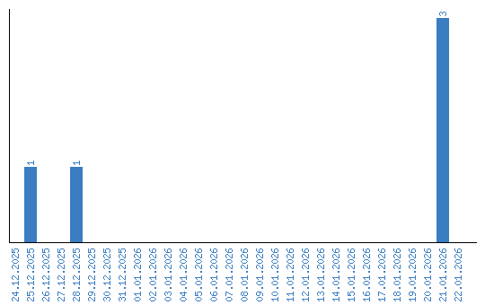
Viewing statistics by date