BusphotoBUSPHOTO

Nuotraukos informacija

732 Kb


Nuotraukos identifikatorius:241585
Bylos dydis:732 Kb
Autorius:John M.
Publikuota:06.07.2018 18:27 EET
Yra tinklapyje dienų:2795
Unikalių peržiūrų:241
Komentarų:0

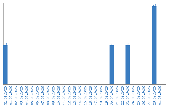
Peržiūrų dinamika pagal dienas