BusphotoBUSPHOTO

Picture Statistics

348 KB


Picture ID:245239
File Size:348 KB
Author:Archi
Publication Date:06.08.2018 15:40 EET
Days in Database:2730
Unique views:354
Comments:0

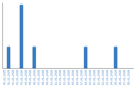
Viewing statistics by date