BusphotoBUSPHOTO

Picture Statistics

400 KB


Picture ID:246850
File Size:400 KB
Author:nissart
Publication Date:18.08.2018 23:24 EET
Days in Database:2721
Unique views:187
Comments:0

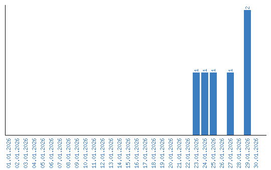
Viewing statistics by date