BusphotoBUSPHOTO

Statistiques d'images

256 KO


ID de l'image:248809
Taille du fichier:256 KO
Auteur:olegp
Date de publication:01.09.2018 22:08 EET
Jours dans la base de données:2709
Vues uniques:201
Commentaires:0

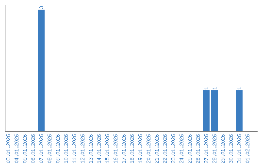
Affichage des statistiques par date