BusphotoBUSPHOTO

Picture Statistics

485 KB


Picture ID:248887
File Size:485 KB
Author:Богдан Смыков
Publication Date:02.09.2018 14:10 EET
Days in Database:2716
Unique views:446
Comments:0

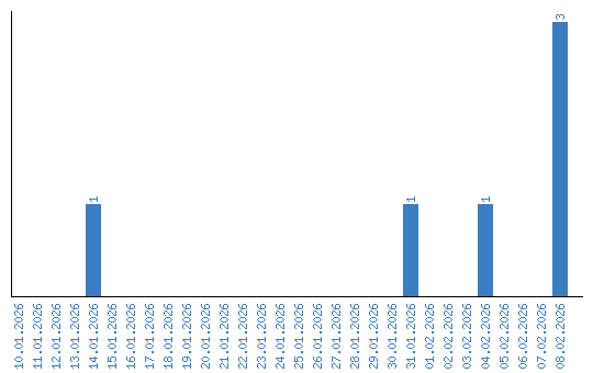
Viewing statistics by date