BusphotoBUSPHOTO

Picture Statistics

460 KB


Picture ID:254199
File Size:460 KB
Author:Światosław Neuhauz
Publication Date:16.10.2018 22:31 EET
Days in Database:2669
Unique views:178
Comments:0

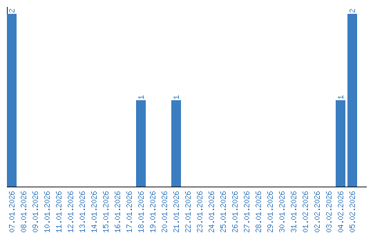
Viewing statistics by date