BusphotoBUSPHOTO

Štatistika obrázku

499 kB


Identifikátor obrázku:255662
Veľkosť súboru:499 kB
Autor:Богдан Смыков
Zverejnené:29.10.2018 01:24 EET
Nachádza sa na stránkach (dní):2650
Jednotlivých zhliadnutí:307
Komentárov:0

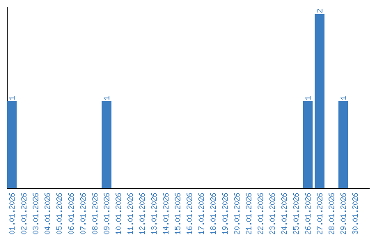
Zobrazenia po jednotlivých dňoch