BusphotoBUSPHOTO

Picture Statistics

611 KB


Picture ID:256243
File Size:611 KB
Author:Flying Dutchman
Publication Date:02.11.2018 20:19 EET
Days in Database:2610
Unique views:297
Comments:0

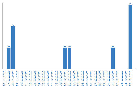
Viewing statistics by date