BusphotoBUSPHOTO

Информация за снимката

475 КБ


Идентификатор на снимки:259630
Размер на файла:475 КБ
Автор:Valius Kedainietis
Качено:27.11.2018 11:04 EET
Стоящо в сайта, дни:2635
Уникални преглеждания:290
Коментари:0

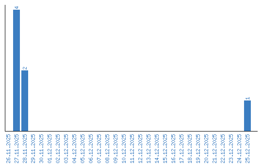
Динамика на преглежданията по дата