BusphotoBUSPHOTO

Picture Statistics

976 KB


Picture ID:260616
File Size:976 KB
Author:John M.
Publication Date:04.12.2018 18:37 EET
Days in Database:2614
Unique views:176
Comments:0

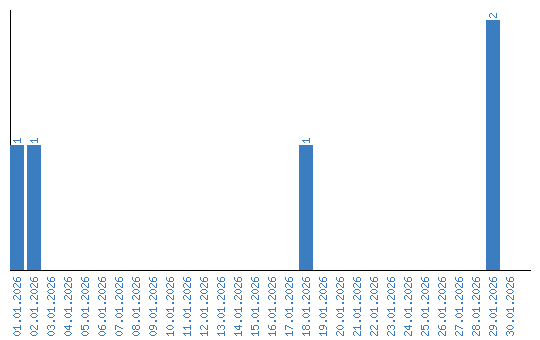
Viewing statistics by date