BusphotoBUSPHOTO

Picture Statistics

431 KB


Picture ID:265241
File Size:431 KB
Author:Valius Kedainietis
Publication Date:10.01.2019 21:22 EET
Days in Database:2541
Unique views:452
Comments:0

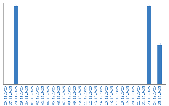
Viewing statistics by date