BusphotoBUSPHOTO

Picture Statistics

528 KB


Picture ID:270492
File Size:528 KB
Author:Pawel_Babik
Publication Date:23.02.2019 10:11 EET
Days in Database:2548
Unique views:384
Comments:0

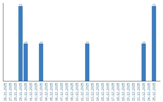
Viewing statistics by date