BusphotoBUSPHOTO

Picture Statistics

412 KB


Picture ID:271997
File Size:412 KB
Author:MIRVAN
Publication Date:07.03.2019 10:59 EET
Days in Database:2515
Unique views:140
Comments:0

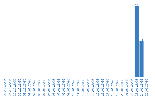
Viewing statistics by date