BusphotoBUSPHOTO

Picture Statistics

341 KB


Picture ID:276260
File Size:341 KB
Fotografato da:Pi Eye
Publication Date:06.04.2019 10:47 EET
Days in Database:2515
Unique views:333
Comments:0

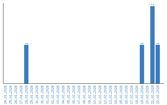
Viewing statistics by date