BusphotoBUSPHOTO

Picture Statistics

252 KB


Picture ID:276338
File Size:252 KB
Author:olegp
Publication Date:07.04.2019 11:01 EET
Days in Database:2488
Unique views:168
Comments:0

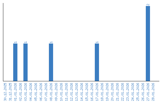
Viewing statistics by date